矩阵的运算

最后发布时间 : 2023-05-21 15:08:12 浏览量 :

只有对角线上有非0元素的矩阵称为对角矩阵,或说若一个方阵除了主对角线上的元素外,其余元素都等于零,则称之为对角阵,其形状为

生信小木屋

简记为\Lambda =A = diag\{a_{11},a_{aa},\cdots , a_{nn}\}
对角线上的元素相等的对角矩阵称为数量矩阵,对角线上的元素都为1的n阶对角(矩)阵称为单位(矩)阵,记作EI_n
生信小木屋

主对角线以下元素都为零的方阵,称为上三角阵,即
生信小木屋

主对角线上方元素都为零的方阵,称为下三角阵。
可见,对角阵既是上三角阵,又是下三角阵。

  • 矩阵的加法
  • 数与矩阵相乘
  • 矩阵与矩阵相乘
  • 矩阵的转置
  • 方阵的行列式

矩阵的转置

  • (A^T)^T=A
  • (A+B)^T=A^T+B^T
  • (A\cdot B)^T=B^T\cdot A^T
  • (kA)^T=kA^T

对称阵与反对称阵

设方阵A=(a_{ij})_{n\times n}
若矩阵 A满足 A^T=A ,则称 A 为对称矩阵
直观来看,对称阵的元素关于对角线对称相等
例如A=\begin{vmatrix} 1& 3& 5\\ 3& 2& 6\\ 5&6 &8 \end{vmatrix}为对称阵

若矩阵 A满足A^T=-A ,则称 A 为反对称矩阵.
反对称阵的元素关于对角线异号
并且对角线上元素全为零
例如A=\begin{vmatrix} 0& 2& 4\\ -2& 0& 6\\ -4&-6 &0 \end{vmatrix}为反对称阵

方阵的行列式

  • |A^T|=|A|
  • |\lambda A| = \lambda^n |A|
  • |AB|=|A|\cdot |B|
    • |AB|=|BA|

伴随阵

由行列式 A 的各个元素的代数余子式A_{ij}所构成的矩阵
A^*=\begin{vmatrix} A_{11}& A_{21}& \cdots & A_{n1}\\ A_{12}& A_{22}& \cdots & A_{n2}\\ \vdots & \vdots & \ddots & \vdots \\ A_{1n}& A_{2n}& \cdots & A_{nn} \end{vmatrix}
称为矩阵 A 的伴随矩阵,简称伴随阵

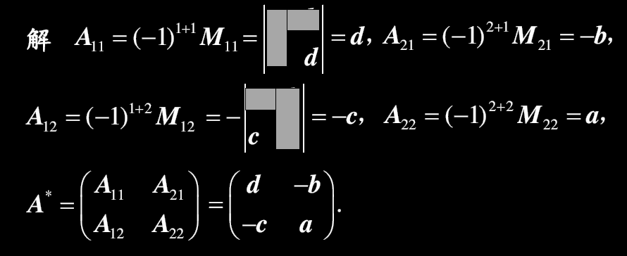
例 求二阶矩阵A=\begin{vmatrix} a& b\\ c& d \end{vmatrix}的伴随矩阵

生信小木屋

AA^*=A^*A=|A|E

生信小木屋

逆矩阵

定义 设 A 为 n 阶方阵, 若存在 n 阶方阵 B , 使得AB=BA=E,则称矩阵 A 是可逆的, 并称 B 是 A 的逆矩阵

注:若 n 阶方阵 A 可逆,则其逆矩阵是唯一的!

A的逆记为A^{-1}B=A^{-1}

逆矩阵的性质

  • (A^{-1})^{-1}=A
  • 若 A 可逆,数\lambda \ne 0 , 则\lambda A可逆,且 (\lambda A)^{-1}=\frac{1}{\lambda}A^{-1}
    • 生信小木屋
  • 若A 、 B 为同阶矩阵且均可逆, 则 AB 可逆,且(AB)^{-1}=B^{-1}A^{-1}
    • 生信小木屋
    • 若A 可逆, 则A^T也可逆,且(A^T)^{-1}=(A^{-1})^T
      • 生信小木屋

求逆公式

  • 定理1 若 n 阶方阵 A 可逆,则|A| \ne 0
    • 证明 若方阵 A 可逆, 即存在矩阵 B 满足AB=BA=E,由行列式的性质,得|A|\cdot |B|=|AB|=|BA|=|E|=1,所以|A| \ne 0
  • 定理2 若|A| \ne 0则矩阵 A 可逆,且A^{-1}=\frac{1}{|A|}A^*
    • 生信小木屋

|A| = 0时, A 称为奇异矩阵,可逆矩阵就是当|A| \ne 0时,A 称为非奇异矩阵

生信小木屋

生信小木屋
生信小木屋