行列式

最后发布时间 : 2023-05-21 12:52:07 浏览量 :

二阶行列式

生信小木屋

其中a_{ij}表示第i个方程中第j个未知数的系数,b_i表示第i个方程的常数项。
用加减消元法来解该方程组,第一、二式分别乘以a_{22}a_12,然后相减,消去未知数x_2,得到
生信小木屋

同理,消去未知数x_1,得到
生信小木屋

当时,方程组a_{11}a_{22}-a_{12}a_{21}\ne 0有唯一解

生信小木屋

生信小木屋

三阶行列式

生信小木屋

生信小木屋

n价行列式

定义n阶行列式

生信小木屋

等于所有取自不同行不同列的n个元素的乘积

生信小木屋

的代数和,这里j_1j_2\cdots j_n1,2,\cdots,n的一个排列,每一项都按下列规则带有符号:当j_1j_2\cdots j_n是偶排列时带有正号,当j_1j_2\cdots j_n 是奇排列时带有负号。这一定义可写成
生信小木屋

行列式的性质

  • 性质1: 行列式与它的转置行列式相等
  • 性质2: 交换行列式的两行(列),行列式变号
  • 性质3: 行列式的某一行(列)中所有的元素都乘同一数 k,等于用数 k 乘此行列式
    • 生信小木屋
  • 性质4: 若行列式有两行(列)成比例,则行列式等于零
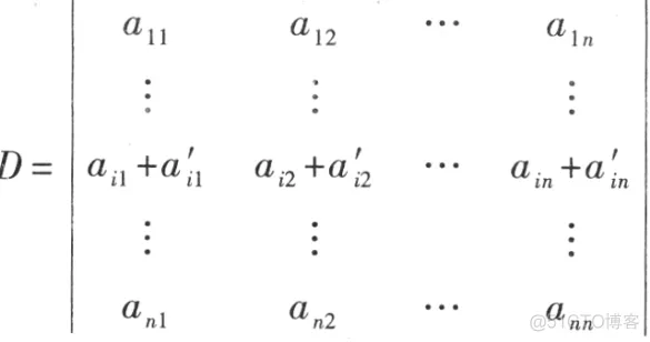
  • 性质5: 若行列式的某一行(列)的元素都是两数之和,例如第 i行的元素 都是两数之和 
    • 生信小木屋
      生信小木屋
  •  性质6: 把行列式的某一行(列)的各元素乘同一数然后加到另一行(列)对 应的元素上去,行列式不变.

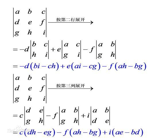
行列式按行(列)展开

\begin{vmatrix} a_{11}& a_{12} &a_{13} \\ a_{21}& a_{22} &a_{23} \\ a_{31}& a_{32} &a_{33} \end{vmatrix}a_{21}余子式代数余子式分别为:M_{21} = \begin{vmatrix} a_{12} &a_{13} \\ a_{32} &a_{33} \end{vmatrix}A_{21}=(-1)^{2+1}M_{21}=-M_{21}

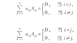
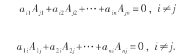
引理:设D为n阶行列式,其中第i行所有元素除(i,j)外都为零,则D=a_{ij}A_{ij}

  • 定理:行列式等于它们的任一行(列)的各元素与其对应的代数余子式乘积之和
    生信小木屋

生信小木屋

生信小木屋

生信小木屋